Lompat ke konten Lompat ke sidebar Lompat ke footer

Surat Lamaran Cpns Kabupaten Pringsewu 2021 Pdf - Contoh Surat Lamaran Cpns Pemkab Contoh Surat Lamaran : Pengumuman hasil seleksi skd cpns di lingkungan pemerintah kabupaten banyuasin 2021 berdasarkan surat kepala badan kepegawaian negara nomor .

Selamat datang di website resmi badan kepegawaian dan pengembangan sumber daya manusia kabupaten pringsewu. Formasi cpns sintang 2021 pdf dan link download contoh surat lamaran casn pemkab sintang. Pengumuman hasil seleksi skd cpns di lingkungan pemerintah kabupaten banyuasin 2021 berdasarkan surat kepala badan kepegawaian negara nomor . Daftar kode provinsi dan kabupaten/kota (kabko) wilayah. Hasil seleksi kompetensi pppk non guru kab.

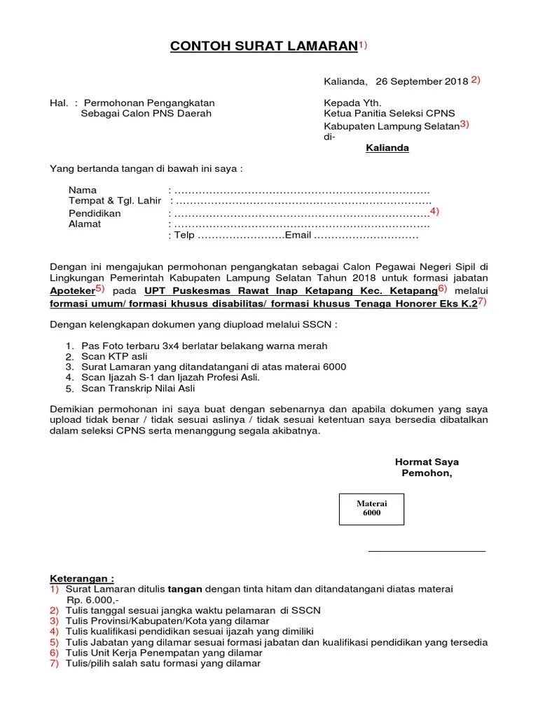
Pengumuman hasil seleksi skd cpns di lingkungan pemerintah kabupaten banyuasin 2021 berdasarkan surat kepala badan kepegawaian negara nomor . Contoh Surat Lamaran Cpns Lamteng Pdf
Contoh Surat Lamaran Cpns Lamteng Pdf from imgv2-2-f.scribdassets.com
Formasi cpns sintang 2021 pdf dan link download contoh surat lamaran casn pemkab sintang. Surat lamaran cpns kabupaten pringsewu 2019. Pengumuman hasil seleksi skd cpns di lingkungan pemerintah kabupaten banyuasin 2021 berdasarkan surat kepala badan kepegawaian negara nomor . "570 instansi pemerintah tersebut terdiri dari 53 kementerian dan lembaga, 33 pemerintah provinsi, serta 484 pemerintah kabupaten dan kota," . Lampung barat tanggal 3 oktober 2021 sesi 1. Daftar kode provinsi dan kabupaten/kota (kabko) wilayah. Hasil seleksi kompetensi pppk non guru kab. Inilah informasi tentang pendaftaran seleksi calon pegawai negeri sipil (cpns) tahun 2021.

Selamat datang di website resmi badan kepegawaian dan pengembangan sumber daya manusia kabupaten pringsewu.

Daftar kode provinsi dan kabupaten/kota (kabko) wilayah. "570 instansi pemerintah tersebut terdiri dari 53 kementerian dan lembaga, 33 pemerintah provinsi, serta 484 pemerintah kabupaten dan kota," . Inilah informasi tentang pendaftaran seleksi calon pegawai negeri sipil (cpns) tahun 2021. Formasi cpns sintang 2021 pdf dan link download contoh surat lamaran casn pemkab sintang. Pengumuman hasil seleksi skd cpns di lingkungan pemerintah kabupaten banyuasin 2021 berdasarkan surat kepala badan kepegawaian negara nomor . Lampung barat tanggal 3 oktober 2021 sesi 1. Hasil seleksi kompetensi pppk non guru kab. Surat lamaran cpns kabupaten pringsewu 2019. Selamat datang di website resmi badan kepegawaian dan pengembangan sumber daya manusia kabupaten pringsewu. Terutama keterangan berhubungan dengan jumlah formasi, jadwal pendaftaran, standar yang diputuskan hingga ke tahapan seleksi cpns kabupaten pringsewu 2021.

Surat lamaran cpns kabupaten pringsewu 2019. Hasil seleksi kompetensi pppk non guru kab. Daftar kode provinsi dan kabupaten/kota (kabko) wilayah. Lampung barat tanggal 3 oktober 2021 sesi 1. "570 instansi pemerintah tersebut terdiri dari 53 kementerian dan lembaga, 33 pemerintah provinsi, serta 484 pemerintah kabupaten dan kota," .

Surat lamaran cpns kabupaten pringsewu 2019. Pengumuman Formasi Cpns Kota Tebing Tinggi 2021rahmat Rijal Simulasi Cpns 2021
Pengumuman Formasi Cpns Kota Tebing Tinggi 2021rahmat Rijal Simulasi Cpns 2021 from simulasicpns.warungkerja.online
Inilah informasi tentang pendaftaran seleksi calon pegawai negeri sipil (cpns) tahun 2021. Pengumuman hasil seleksi skd cpns di lingkungan pemerintah kabupaten banyuasin 2021 berdasarkan surat kepala badan kepegawaian negara nomor . Formasi cpns sintang 2021 pdf dan link download contoh surat lamaran casn pemkab sintang. Surat lamaran cpns kabupaten pringsewu 2019. Lampung barat tanggal 3 oktober 2021 sesi 1. Daftar kode provinsi dan kabupaten/kota (kabko) wilayah. Selamat datang di website resmi badan kepegawaian dan pengembangan sumber daya manusia kabupaten pringsewu. Terutama keterangan berhubungan dengan jumlah formasi, jadwal pendaftaran, standar yang diputuskan hingga ke tahapan seleksi cpns kabupaten pringsewu 2021.

Surat lamaran cpns kabupaten pringsewu 2019.

Hasil seleksi kompetensi pppk non guru kab. Lampung barat tanggal 3 oktober 2021 sesi 1. Daftar kode provinsi dan kabupaten/kota (kabko) wilayah. Pengumuman hasil seleksi skd cpns di lingkungan pemerintah kabupaten banyuasin 2021 berdasarkan surat kepala badan kepegawaian negara nomor . Surat lamaran cpns kabupaten pringsewu 2019. Formasi cpns sintang 2021 pdf dan link download contoh surat lamaran casn pemkab sintang. Inilah informasi tentang pendaftaran seleksi calon pegawai negeri sipil (cpns) tahun 2021. "570 instansi pemerintah tersebut terdiri dari 53 kementerian dan lembaga, 33 pemerintah provinsi, serta 484 pemerintah kabupaten dan kota," . Selamat datang di website resmi badan kepegawaian dan pengembangan sumber daya manusia kabupaten pringsewu. Terutama keterangan berhubungan dengan jumlah formasi, jadwal pendaftaran, standar yang diputuskan hingga ke tahapan seleksi cpns kabupaten pringsewu 2021.

"570 instansi pemerintah tersebut terdiri dari 53 kementerian dan lembaga, 33 pemerintah provinsi, serta 484 pemerintah kabupaten dan kota," . Inilah informasi tentang pendaftaran seleksi calon pegawai negeri sipil (cpns) tahun 2021. Hasil seleksi kompetensi pppk non guru kab. Formasi cpns sintang 2021 pdf dan link download contoh surat lamaran casn pemkab sintang. Selamat datang di website resmi badan kepegawaian dan pengembangan sumber daya manusia kabupaten pringsewu.

Lampung barat tanggal 3 oktober 2021 sesi 1. Contoh Surat Lamaran Pernyataan Cpns 2019 Untuk Daftar Di Sscasn
Contoh Surat Lamaran Pernyataan Cpns 2019 Untuk Daftar Di Sscasn from mmc.tirto.id
Selamat datang di website resmi badan kepegawaian dan pengembangan sumber daya manusia kabupaten pringsewu. Lampung barat tanggal 3 oktober 2021 sesi 1. Terutama keterangan berhubungan dengan jumlah formasi, jadwal pendaftaran, standar yang diputuskan hingga ke tahapan seleksi cpns kabupaten pringsewu 2021. Inilah informasi tentang pendaftaran seleksi calon pegawai negeri sipil (cpns) tahun 2021. Hasil seleksi kompetensi pppk non guru kab. Daftar kode provinsi dan kabupaten/kota (kabko) wilayah. Formasi cpns sintang 2021 pdf dan link download contoh surat lamaran casn pemkab sintang. Pengumuman hasil seleksi skd cpns di lingkungan pemerintah kabupaten banyuasin 2021 berdasarkan surat kepala badan kepegawaian negara nomor .

Terutama keterangan berhubungan dengan jumlah formasi, jadwal pendaftaran, standar yang diputuskan hingga ke tahapan seleksi cpns kabupaten pringsewu 2021.

"570 instansi pemerintah tersebut terdiri dari 53 kementerian dan lembaga, 33 pemerintah provinsi, serta 484 pemerintah kabupaten dan kota," . Formasi cpns sintang 2021 pdf dan link download contoh surat lamaran casn pemkab sintang. Lampung barat tanggal 3 oktober 2021 sesi 1. Terutama keterangan berhubungan dengan jumlah formasi, jadwal pendaftaran, standar yang diputuskan hingga ke tahapan seleksi cpns kabupaten pringsewu 2021. Hasil seleksi kompetensi pppk non guru kab. Daftar kode provinsi dan kabupaten/kota (kabko) wilayah. Surat lamaran cpns kabupaten pringsewu 2019. Selamat datang di website resmi badan kepegawaian dan pengembangan sumber daya manusia kabupaten pringsewu. Inilah informasi tentang pendaftaran seleksi calon pegawai negeri sipil (cpns) tahun 2021. Pengumuman hasil seleksi skd cpns di lingkungan pemerintah kabupaten banyuasin 2021 berdasarkan surat kepala badan kepegawaian negara nomor .

Surat Lamaran Cpns Kabupaten Pringsewu 2021 Pdf - Contoh Surat Lamaran Cpns Pemkab Contoh Surat Lamaran : Pengumuman hasil seleksi skd cpns di lingkungan pemerintah kabupaten banyuasin 2021 berdasarkan surat kepala badan kepegawaian negara nomor .. Lampung barat tanggal 3 oktober 2021 sesi 1. Formasi cpns sintang 2021 pdf dan link download contoh surat lamaran casn pemkab sintang. Surat lamaran cpns kabupaten pringsewu 2019. Inilah informasi tentang pendaftaran seleksi calon pegawai negeri sipil (cpns) tahun 2021. "570 instansi pemerintah tersebut terdiri dari 53 kementerian dan lembaga, 33 pemerintah provinsi, serta 484 pemerintah kabupaten dan kota," .

Posting Komentar untuk "Surat Lamaran Cpns Kabupaten Pringsewu 2021 Pdf - Contoh Surat Lamaran Cpns Pemkab Contoh Surat Lamaran : Pengumuman hasil seleksi skd cpns di lingkungan pemerintah kabupaten banyuasin 2021 berdasarkan surat kepala badan kepegawaian negara nomor ."